ワクチン予約 14日から受付再開 3324枠
2021年09月08日
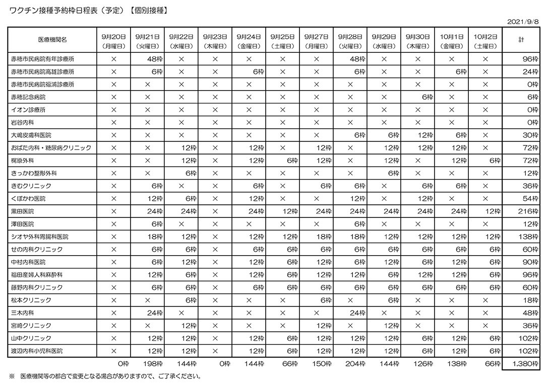
第9次募集となる今回は9月19日(日)から10月2日(土)までの12日間で3324枠(集団接種1944枠、個別接種1380枠)の予約枠を設けた。
予約先は次のとおり。
▽ウェブ=https://vc.liny.jp/1173
▽ライン=@akocity
▽コールセンター=0120・704・707(午前9時〜午後5時)
▽ファクス=079・226・2087(聴覚に障がいのある人)
| <前の記事 |
掲載紙面(PDF):
2021年9月11日号(2431号) 1面 (8,425,836byte)
(PDFファイルを閲覧するにはこちらからAdobe Readerを入手してください。)
紋章上絵師が描いた四十七士の家紋 赤穂大石神社に寄贈
[ 社会 ] 2026年05月02日 令和8年春の叙勲 赤穂市から2人受章
[ 社会 ] 2026年04月29日 日本珠算連盟 第282回暗算検定合格者
[ お知らせ ] 2026年04月29日 日本計算技能連盟 第91回暗算検定合格者
[ お知らせ ] 2026年04月27日 赤穂市消防操法大会 第6分団が連覇
[ 社会 ] 2026年04月27日 赤穂市自治功労者5人 16日に表彰式
[ 社会 ] 2026年04月24日 運転免許更新 70歳未満は事前予約制に
[ お知らせ ] 2026年04月21日 院長への医療事故報告日など「非公表」
[ 社会 ] 2026年04月18日 福浦の法光寺にガーデン墓苑 ペットと同葬も可
[ 社会 ] 2026年04月18日 春の全国交通安全運動 スーパーで街頭キャンペーン
[ 社会 ] 2026年04月14日 「他人事ではない」赤穂で反戦アピール
[ 社会 ] 2026年04月12日 女性活躍の「ミモザ企業」 赤穂市内で初認定 車椅子をロープで引いて避難訓練
[ 社会 ] 2026年04月09日 11日に赤穂で反戦デモ 市民有志が参加呼び掛け [ お知らせ ] 2026年04月05日免許返納しても外出の楽しみは手放さないで
[ 社会 ] 2026年04月04日
















コメントを書く